The Mayor of Freetown, Yvonne Aki-Sawyerr, has formally responded to a request from the Ministry of Local Government and Community Affairs for evidence relating to her earlier statement that 220 people have died in Freetown this year, allegedly linked to the consumption of the drug known as Kush.
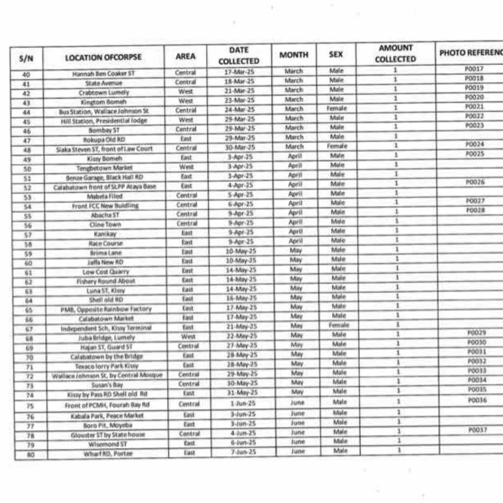
In a letter dated 20 October 2025 and addressed to the Permanent Secretary of the Ministry, the Mayor confirmed that the Freetown City Council (FCC) has compiled and submitted a detailed spreadsheet of corpses collected across the city between 1 January and 8 October 2025.
According to the document, the Council recorded a total of 220 deaths during this period — 50 of the deceased were claimed by relatives, while 170 were buried by the FCC at various cemeteries. The data include the date and location of each collection, gender of the deceased, and burial disposition.
Mayor Aki-Sawyerr noted that photographs exist for all 220 cases, though only images of unclaimed corpses are available for review due to privacy considerations.
She emphasized that the sharp rise in corpses collected from the streets marks a worrying trend compared to previous years. “Between 2020 and 2023, the number of corpses collected annually was less than 50,” the Mayor stated. “In the past two years, this figure has increased dramatically.”
The Mayor also recalled that on 17 September 2025, she had written to the Minister of Internal Affairs — copying the Minister of Local Government — to draw attention to what she described as an alarming and unnatural increase in deaths linked to Kush use.
“At that time,” she wrote, “our records showed that 142 corpses had been collected since the start of the year — mostly young men. Less than a month later, that figure rose by another 32.” She further described the situation as “deeply troubling” and urged the government to take immediate and coordinated action to address the crisis.
In her latest correspondence, the Mayor said that given the Ministry’s query about the “source of authority under which the Freetown City Council conducted such retrievals,” the Council will suspend the collection of corpses until clear guidance is provided. She requested that the Ministry specify which authority should now be contacted when corpses are found on the streets.
Mayor Aki-Sawyerr reaffirmed the Council’s readiness to cooperate with government institutions and provide any additional documentation or data required. “Freetown City Council remains committed to accountability, public welfare, and the fight against Kush,” she concluded.









